Let’s tinker around and accidentally break something.
and debug it until you have to reinstall your entire stack from scarch
GET OUT OF MY HOUSE!
Are you implying it’s possible to debug without having to reinstall from scratch? Preposterous! 😂
Scarched arth
Guess this is a good time to test my infrastructure automation.
“Damn, I’ve got this Debian server shit down. I wonder how an opensuse server would work out”
*installs tumbleweed*
True story
My
manperson!
Have you tried introducing unnecessary complexity?
If you know how your setup works, then that’s a great time for another project that breaks everything.
Saturday morning: “Incus and podman seem interesting. I bet I could swap everything over while the family is out this afternoon”
Sunday evening: “Dad, when will the lights work again?”
“Dad, when will the lights work again?
As soon as selinux decides I have permission.
The old lighting wasn’t that great anyway. If I were to just put lighting on a DMX512-controlled network, then all of it could be synchronized to whole-house audio…
Don’t forget to integrate it into Home Assistant so you can alert the ISS when the mail man is on the porch.
Infrastructure diagram? No! In this homelab we refer to the infrastructure hyperdodecahedron.
It seems like a good time to learn graphviz’s dot format for the network layout diagrams, with automated layout.
https://mamchenkov.net/wordpress/2015/08/20/graphviz-dot-erds-network-diagrams/
TIL. Thank you!
Sure. What that guy is using is actually not the most-interesting diagram style, IMHO, for automatic layout of network maps, if you want large-scale stuff, which is where the automatic layout gets more interesting. I have some scripts floating around somewhere that will generate very large network maps — run a bunch of traceroutes, geolocate IPs, dump the results into an sqlite database, and then generate an automatically laid-out Internet network map. I don’t want to go to the trouble of anonymizing the addresses and locations right now, but if you have a graphviz graph and want to try playing with it, I used:
goes looking
Ugh, it’s Python 2, a decade-and-a-half old, and never got ported to Python 3. Lemme gin up an example for the non-hierarchical graphviz stuff:
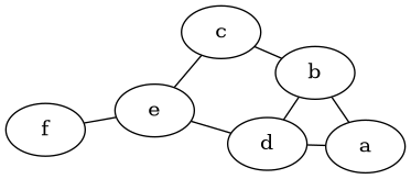
graph.dot:
graph foo { a--b a--d b--c d--e c--e e--f b--d }Processed with:
$ sfdp -Goverlap=prism -Gsep=+5 -Gesep=+4 -Gremincross -Gpack -Gsplines=true -Tpdf -o graph.pdf graph.dotGenerates something like this:

That’ll take a ton of graphviz edges and nicely lay them out while trying to avoid crossing edges and stuff, in a non-hierarchical map. Get more complicated maps that it can’t use direct lines on, it’ll use splines to curve lines around nodes. You can create massive network maps like this. Note that I was last looking at graphviz’s automated layout stuff about 15 years ago, so it’s possible that they have better layout algorithms now, but this can deal with enormous numbers of nodes and will do reasonable things with them.
I just grabbed his example because it was the first graphviz network map example that came up on a Web search.
Haha too right mate
unnecessary complexity?
I can help with that. It’s a skill I have. LOL
This is just as true in my non-computer hobbies that involve physical systems instead of code and configs!
If I had to just barely meet the requirements using as little budget as possible while making it easy for other people to work on, that would be called “work.” My brain needs to indulge in some over-engineering and “I need to see it for myself” kind of design decisions.
If it’s stable, it’s not a lab.
That’s infrastructure.
I’ve moved my homelab twice because it became stable, I really liked the services it was running, and I didn’t want to disturb the last lab**cough**prod server.
My current homelab will be moar containers. I’m sure I’ll push it to prod instead of changing the IP address and swapping name tags this time.
When’s the last time you checked if your backup solution works?
But if my backups actually work then I miss out on the joy of rebuilding everything from scratch and explaining to my wife why non of the lights in the house work anymore.
Carry around a candle in one of those old timey holders like Scrooge Mcduck
Yesterday! Switched my media server from freebsd to alpine and got the arr stack all set up using the backup zip files
Backup? Psh… That’s what the lab is for.
What’s a backup solution…? (I’m only being half sarcastic, I really need to set one up, but it’s not as “fun” as the rest of my homelab, open to suggestions)
No mercy for you, then. ;)
I at least have external backups for important family pics and docs! But yea the homelab itself is severely lacking. If it dies, I get to start from scratch. Been gambling for years that “I’ll get around to a backup solution before it dies”. I wouldn’t bet on me :|
logging is probably down
You do, of course have a dedicated rsyslogd server? An isolated system to which logs are sent, so that if someone compromises another one of your systems, they can’t wipe traces of that compromise from those systems?
Oh. You don’t. Well, that’s okay. Not every lab can be complete. That Raspberry Pi over there in the corner isn’t actually doing anything, but it’s probably happy where it is. You know, being off, not doing anything.
Ah. The approach that squirrel@piefed.zip suggested. ;)
Thanks for the tutorial though.
Hmmm. My pi{VPN,hole,dhcp,HA} has a little bit of overhead left…
Now try migrating all your docker containers to podman.
Don’t encourage me.
And then try turning on SELinux!
I set my homelab up on Bazzite immutable with podman and SELinux. It took a while to work everything out and have it boot up into a valid state hahaha
Any reason you chose Bazzite for your homelab distro? First I’ve heard of someone doing that!
At the start I just wanted a desktop machine that runs Steam through sunshine/moonlight so hardware support and gaming stuff such was very important.
My homelab used to run on my laptop when it could all fit within a couple 100s of GB and I was the only user but moving it was tricky. Since I’m a programmer I’m not afraid of this stuff so I just spent the hours to figure out one problem at a time.
I ended up figuring out adding HDD whitelist in SELinux, make it accessible in podman, manually edit fstab because tools didn’t work, systemd service for startup, logging in automatically where I already forgot everything and would have not had to do any of this on a bog standard Ubuntu server.
Respect! I too often take it for granted that it’s a privilege for my gaming rig and my homelab server to be separate boxes.
My server is Almalinux, my laptop is Mint, and my gaming rig is Nobara. But if I had to consolidate everything in to one machine, I’d pick Nobara.
I came to the same conclusion, Nobara for would have been best.
Wouldn’t an immutable OS be overall a pretty good idea for a stable server?
I honestly don’t know a ton about immutable distros other than that they let you front-load some difficulty in getting things set up in exchange for making it harder to break. I was just surprised that the distro of choice was Bazzite, since its target audience seems to be gamers.
Good for stability, bad for flexibility for when the homelab grows more complex.
It’s not that difficult to get SELinux working with podman quadlets, especially if you run things rootless. I have a kerberized service account for each application I host and my quadlets are configured to run under those. I very rarely encounter applications that simoky can’t be run rootless but I usually can find an adequate alternative. I think right now the only thing that runs as root is one of the talk or collabora containers in my nextcloud stack. No selinux issues either.
I use podman-compose with system accounts and I don’t have a ton of issues. The biggest one is that I can’t seem to get bluetooth and pip working on Home Assistant at the same time. Most of the servers I manage have SELinux and it works fine as long as I use
:z/:Zwith bind mounts.A few years ago, I set up a VPS for my friend’s business; at the time, I didn’t know how to work with SELinux so I just turned it off. I tried to flip it back on, and it somehow bricked the system. We had to restore from a backup. Since then, I’ve been afraid to enable it on my flagship homelab server.
are you sure it really bricked it? when turning it on, on next boot it needs to go over all the files and retag them or something like that, and it can take a significant amount of time
Honestly, I don’t know what happened, but it was unreachable via SSH and the web console. There shouldn’t have been a ton of files to tag since it was an Almalinux system that started with SELinux enabled, and all we added was a container app or two.
that started with SELinux enabled
that does not matter, it needs to go over all of them. I don’t know how long it takes with SSD, but with HDD it can take a half an hour or more, with a mostly base system. and the kernel starts doing this very early, when not even systemd or other processes are running, so no ssh, but web console should have been working to see what its doing
Just did that last weekend. Nothing to do anymore. 😢
Did you do Quadlets?
Yes of course. Had to spend a couple of hours fixing permission related issues.
But did you run them as rootful or the intended rootless way.
Rootless. The docker containers were rootful, hence the permission struggles.
I had problems getting apps with multiple containers working in quadlets (definitely a knowledge issue on my part, but didn’t feel the time learning it was beneficial, but will probably revisit during kubernetes learning) so went back to podman with docker compose.
I think it’s kinda better using quadlets, because I wrote some custom scripts, and quadlets made the process better. But podman compose is probably file too.
And then migrate all your podman containers to proxmox
Time to start documenting it!
At 71, I have to document. I started a long time ago. I worked for a mec. contractor long ago, and the rule was: ‘If you didn’t write it down, it didn’t happen.’ That just carried over to everything I do.
Do you write down what you write down on the internet?
As in a blog or wiki? I do not because I am not authoritative. What I know came from reading, doing, screwing it up, ad nauseam. When something finally clicks for me, I write it down because 9 times out of 10, I will need that info later. But my writing would be so full of inaccuracies that it would be embarrassing and possibly lead someone astray.
It’s how cults start!
I’ve started to take a l lot more notes at work I guess there will be a time where I take notes of what month it is!
I guess there will be a time where I take notes of what month it is!
You may jest, but there are times when I can’t remember what I had for breakfast. They say that you never truly forget anything, but that our recall mechanism fades over time. For a myriad of reasons, including age, my recall mechanism is shit.
Offt depends what you had and your version of health. I am hopeful that technology helps when I am that age, only a few years but ai agents seem to be a start. Just need to let go of those big data fears.
NEVER1!!!11!!
Don’t look too closely you can jinx it.
You have remote power management set up for the systems in your homelab, right? A server set up that you can reach to power-cycle other servers, so that if they wedge in some unusable state and you can’t be physically there, you can still reboot them? A managed/smart PDU or something like that? Something like one of these guys?
Oh. You don’t. Well, that’s probably okay. I mean, nothing will probably go wrong and render a device in need of being forcibly rebooted when you’re physically away from home.
Does a $12 Shelly plug count?
if you can cycle your home assistant with the shelly plug whilst your home assistant is down, yes. from experience it’s really quite annoying to have a smart plug switch off HA…
HA is on the same proxmox host as the router. So yeah I can end up locked out. Hasn’t happened yet tho! The relay is on my test machine, it’s always nvidia that crashes there.
An 8 switch relay, old Pi, and 8 hardware store outlets can be had for not much more. I did that and let PiKVM control my outlets directly.
This is the back of my 10" rack before it was cleaned up. Lots of custom work on this that I’ll be posting a page on my site about when complete.

@tal@lemmy.today in case you are interested
The Shelly can be configured to automatically turn back on after a certain amount of time. It has local scripting capabilities.
If they did that… I don’t know.
Oh. You don’t. Well, that’s probably okay. I mean, nothing will probably go wrong and render a device in need of being forcibly rebooted when you’re physically away from home.
*furiously adds a new item to the TODO list*
I built an 8 outlet version of those with relays and wall outlets for… a lot less.
Tal just got the chaotic evil tag today.
If you do have the smart PSU and power management server you probably also went down the rabbit hole of scripting the power cycling, right? Maybe made that server hardened against power loss disk corruption so it can be run until UPS battery exhaustion.
What if there is a power outage and NUT shuts everything down? Would be nice to have everything brought back up in an orderly way when power returns. Without manual intervention. But keeping you informed via logging and push notifications.
Have you already tried implementing an identity provider like Authentik, so you can add OIDC and ldap for all your services, while you are the only one that’s using them? 🤔
Behind a traefik reverse proxy with lets encrypt for ssl even though the services aren’t exposed to the internet?
Don’t forget about Anubis and crowdsec to make it even safer inside your LAN
To be fair a lot of apps don’t handle custom CAs like they should. Looking at you Home Assistant! 😠
Who cares if it’s exposed to the internet?
-
Encrypting your local traffic is still valuable to protect your systems from any bad actors on your local network (neighbor kid cracks your wifi password, some device on your network decides to start snooping on your local traffic, etc)
-
Many services require HTTPS with a valid cert to function correctly, eg: Bitwarden. Having a real cert for a real domain is much simpler and easier to maintain than setting up your own CA
-
Probably a good idea to switch over to WPA-Enterprise using Authentik’s RADIUS server support and let all of the users of your wireless access point log in with their own network credentials, while you’re at it.
Hey my wife uses some of them too!
All of those systems in your homelab…they aren’t all pulling down their updates multiple times over your network link, right? You’re making use of a network-wide cache? For Debian-family systems, something like Apt-Cacher NG?
Oh. You’re not. Well, that’s probably okay. I mean, not everyone can have their environment optimized to minimize network traffic.
I set this up years ago, but then decided it was better to just install different distros on each of my computers. Problem solved?
You can forgejo with a container index enabled, I don’t know if there’s a way to use that as a proxy for downloading containers though.
The rare moment when everything actually works. 😄
Quick! Break something!
Maybe try this…
Wreck it Ralph!!
The comments in this thread have collectively created thousands of person-hours worth of work for us all…
Don’t worry, you’re one Docker pull away from having to look up how to manually migrate Postgres databases within running containers!
(Looks at my PaperlessNGX container still down. Still irritated.)
I feel your pain. Had to fix my immich, NC and Joplin postgresdb. Turned out, DB via NFS is a risky life. ;D
https://github.com/pgautoupgrade/docker-pgautoupgrade
Or if you are on k8s, you can use cloudnativepg.
I’m just using Docker on Proxmox, buuuut… I’m gonna look into this project. It looks like a LIFESAVER. Thank you for sharing this. You’re awesome! :D
Backups. You’re forgetting them.
Pro tip: If you’re using openwrt or other managed network components don’t forget to automatically back those up too. I almost had to reset my openwrt router and having to reconfigure that from scratch sucks.
I should do some breaking network changes… While tunneled in.
“Yes, while connected to my wireguard server through port 123 here from my Chinese office, I should probably try to upgrade the wireguard server. That’s a great idea!”
Ask me how I know.
I stopped the tailscale service…
… while ssh’d through the tailscale interface.
Luckily, it was my home server and I had to drive there anyway.
I used to make nginx changes while vpn’d into my network and utilizing guacamole (served via said nginx). I’m not a smart man.


















